Bivariate Distributions, Marginal Distributions, Independent Random Variables, Conditional Distributions, IID Samples
- Source textbook: “All of Statistics”
- Recall content from: Random Variables, Distribution Functions and Probability Functions
Bivariate Distributions or Joint Mass Function
Given a pair of discrete random variables
- this is notation
Example:
Suppose we have the following bivariate distribution for two random variables
| Y=0 | Y=1 | ||
|---|---|---|---|
| X=0 | 1/9 | 2/9 | 1/3 |
| X=1 | 2/9 | 4/9 | 2/3 |
| 1/3 | 2/3 | 1 | |
| Thus |
Probability Density Function in two variables
In the continuos case, a function
for all - for ay set
,
In the discrete or continuos case we define the joint CDF as
Example
Let
We want to find
Integrating
Marginal Distributions
If
and the marginal mass function for
For continuios random variables the marginal densities are:
and
denoted by
Independent Random Variables
Two random variables
Otherwise we say that
Theorem:
Example Let
| Y=0 | Y=1 | ||
|---|---|---|---|
| X=0 | 1/4 | 1/4 | 1/2 |
| X=1 | 1/4 | 1/4 | 1/2 |
| 1/2 | 1/2 | ||
| Then |
Suppose instead that
| Y=0 | Y=1 | ||
|---|---|---|---|
| X=0 | 1/2 | 0 | 1/2 |
| X=1 | 0 | 1/2 | 1/2 |
| 1/2 | 1/2 | 1 |
These are not independent because
Conditional Distributions
If
This leads us to define the conditional probability mass function as follows:
- if
.
For continuos distributions we use the same definitions and we must integrate to get a probability as it is known.
Definition: for continuos random variables, the conditional probability density function is:
assuming that
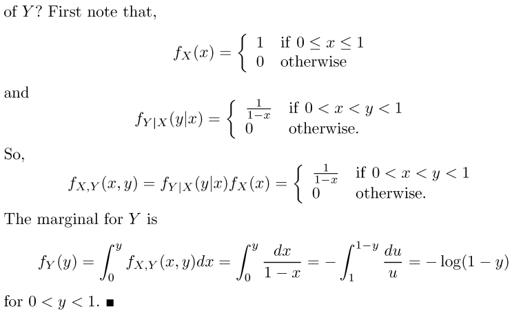
Example: Suppose that
What is the marginal distribution of

Multivariate Distributions and IID samples
- IID samples are used in ML i.e ML1 - Lecture 2 - iid samples
Let
Let
It is possible to define their marginals, conditionals etc much in the same ways as in the bivariate case.
We say that
It suffices to check that
Definition: If
If
Much of statistical theory and practice beginds with IID observations.